Con voley y a lo loco!

Fotografía

Con voley y a lo loco!

Se dispara a 2.8, ISO 100 y velocidad 3200.

Supervoley

Fotografía

Cuando superman se viene a jugar con nosotros al voley.

Se dispara a 2.8, ISO 100 y velocidad 3200.

Problemas de química. Equilibrio ácido-base.

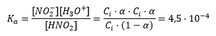
Enunciado: Calcular el pH de una disolución 5·10-8 M de HCl

Para resolver problemas de equilibrio ácido-base, utilizaremos las siguientes ecuaciones:

Constante de hidrólisis del agua:

El balance de masas:

El balance de cargas:

Y combinamos matemáticamente:

Enunciado 2: Calcular el pH de una disolución 0,1 M de HCl

Ballet clásico en el voley

Fotografía

Ballet clásico en el voley.

Se dispara a 2.8, ISO 100 y velocidad 3200.

Problemas de química: Equilibrio químico.

Enunciado: Al pasar vapor de agua sobre hierro al rojo, se produce una reacción química en la que se produce óxido ferroso férrico e hidrógeno. Medido a la temperatura de 200ºC los componentes gaseosos del equilibrio tienen las siguientes presiones parciales: 4,6 mmHg para el agua y 95,9 mmHg para el hidrógeno. 1.- Cuando la presión parcial del vapor de agua es 9,3 mmHg, ¿Cuánto vale la del hidrógeno?. 2.- Calcular la presión parcial del hidrógeno y agua cuando la presión total sea de 760 mmHg.

Primero planteamos la ecuación de la reacción y a ajustamos:

Con los datos iniciales de las presiones parciales a 200ºC podemos calcular la constante de equilibrio de la reacción:

De esta podemos despejar el valor de la presión parcial del hidrógeno cuando la del agua es 9,3 mmHg según el primer apartado del problema:

Para resolver la segunda parte, haremos uso de la ecuación general de los gases:

Vuelo rasante

Fotografía

El voley te da fuerzas para volar.

Se dispara a 2.8, ISO 100 y velocidad 1000.

Problema de química. Concentraciones de equilibrio.

He aquí el enunciado: Si calentamos a 50ºC un mol de ácido acético con un mol de etanol hasta alcanzar el equilibrio, vemos que se han formado 2/3 moles de agua. Calcular: 1.- Moles presentes de cada componente en el equilibrio, 2.- Constante de equilibrio del sistema y 3.- Resolver el mismo problema partiendo de 40 g de ácido acético y 34 g de etanol.

Primero vamos a plantear la reacción. Si tenemos en cuenta que mezclamos un ácido con un alcohol, deberemos obtener un éster y agua. Así que el ácido acético con etanol, nos debería producir etanoato de etilo y agua.

Con un simple conteo, podemos ver que la reacción está ajustada, así que seguimos…

Pongamos todos los datos en una tabla:

Como conocemos el valor de la x, en la tercera fila calculamos los moles de cada componente. Como no sabemos el volumen, no podemos saber las concentraciones, pero no nos la pide el problema.

El valor de la constante será:

Y para calcular la constante con las condiciones del apartado 3:

Esta vez sí que hemos que convertir las unidades al sistema internacional. Que no se os olvide.

Problema de química: Concentraciones de equilibrio. Grado de disociación.

Esta vez vamos a incluir el concepto de grado de disociación. No es más que el tanto por uno de los moles totales que reaccionan. Matemáticas otra vez! Ya la hemos liado!

Normalmente estamos más acostumbrados a trabajar con porcentajes. Por ejemplo si te digo que tengo 100 naranjas y te puedes quedar con el 84 por ciento de ellas, lo que quiero decir es que te cojas 84 naranjas y te las lleves, que te las comas o hagas zumo o lo que te venga en gana con ellas. Porque 84% son 84 por cada 100. Si tuviera 200 naranjas, te podrías llevar 84 y 84 porque si tengo 2 veces cien, te puedes llevar dos veces 84. ¿Lo pillas ahora, melón?.

Pues seguimos… si ahora resulta que solo tengo 1, te podrás llevar 0,84 de la naranja (algo más de media pero no una entera). Es decir que 84% es lo mismo que 0,84 por uno. El tanto por uno, se expresa en lugar de por cada 100 unidades se expresa por cada 1 unidad.

Pues resulta que para los problemas de reacciones en equilibrio, el usar el tanto por uno, facilita mucho el cálculo. Sí, nos los toca!, pero es lo que hay. Acostúmbrate!.

El enunciado dice: En un matraz de 1 l se introduce 0,1 moles de pentacloruro de fósforo y se calienta a 250 ºC. En el equilibrio, el grado de disociación es 0,84. El pentacloruro de fósforo se descompone en tricloruro de fósforo y cloro. Calcular: 1.- Presión en el interior del matraz en el equilibrio. 2.- Número de moles de cada componente en el equilibrio. 3.- Valores de Kc y Kp

Analicemos los datos. El volumen donde se hace la reacción es 1 l, se ponen 0,1 moles iniciales de pentacloruro de fósforo y, la reacción se hace a 250ºC. Además nos da el grado de disociación.

Vamos a plasmar la reacción que plantea el enunciado y comprobamos si está ajustada. Asustada, no! Ajustada! Si no sabes lo que es, repasa la teoría y vuelve aquí.

Hagamos una tabla con los moles iniciales, los que reacionan, los del equilibrio, el volumen y la concentración en el equilibrio:

En este caso, el valor numérico de los moles en el equilibrio y sus concentraciones coinciden porque estamos trabajando con un volumen de 1:

No se especifica explícitamente, pero estamos trabajando en modo gaseoso. Somos químicos, deberíamos saber que esa sustancia a 250ºC es un gas. Si no nos queremos complicar la vida, podemos echar mano de la ecuación de los gases que relaciona la presión, volumen, moles, temperatura y una constante de esas tan graciosas que tienen que ver con la física. P·V=n·R·T

En el equilibrio sabemos el volumen, los moles, la temperatura y ¿la constante? Es constante, puñetas! Así que podemos despajar la presión que es lo que nos pide el primer apartado del problema.

Para el segundo apartado, ya lo habíamos calculado en la propia tabla. ¿Lo ves arriba?:.

Para el tercer apartado, debemos saber la definición de las K. Si no, date un repaso de teoría y vuelve:

Nuevamente, como no se me olvidado mirar si las unidades de todas las variables estaban en el sistema internacional, las unidades de todo lo calculado serán en ese sistema. O sí, suerte hemos tenido.